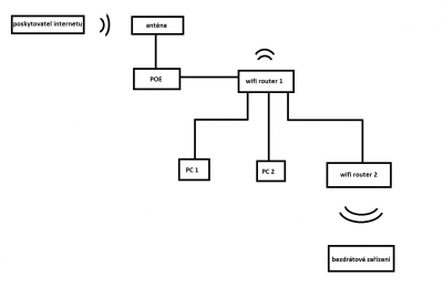
Zdravím, před 2 dny mi přišli vyměnit "krabičku", do které vede internet z antény. Dříve vše fungovalo celkem bezchybně, akorát někdy jsem musel wifi router 1 restartovat, aby internet "naskočil". Teď mi loss skáče někdy až na 13 %, což je dost nepříjemné, a proto bych to chtěl vyřešit.
Co vím, tak změnili tedy jen tu krabičku a potom zapojení, dříve byl wifi router 1 zapojen tak, že WAN port byl prázdný, teď tam vede kabel z POE. Měnili taky nastavení wifi routeru 2, ale to by na PC 1 a PC 2 nemělo mít vliv ne?
Ptám se tedy: Které zapojení je správné, protože nevím jestli mám loss kvůli nové "krabičce" nebo kvůli jinému zapojení a nastavení.
Struktura sítě, loss až 13 %
Moderátor: Mods_senior
Struktura sítě, loss až 13 %
Naposledy upravil(a) gvdr dne 15 dub 2017 18:15, celkem upraveno 2 x.
Re: Struktura sítě, loss až 13 %
Nechtěj po nikom, aby klikal na odkaz, na kterém neví, co ho čeká. Obrázky se vkládají přímo do příspěvku.
ASUS Prime Z390-P / Hexa Core Intel core i5 Coffee Lake-S / Gigabyte GeForce GTX 650 Ti / FORTRON BlueStorm Bronze 80PLUS / W 11
-
Uziv00
Re: Struktura sítě, loss až 13 %
V mém podpisu najdeš návody na diagnostiku sítě.
Doplň náčrtkem, jak a co máš zapojeno. Bude mě zajímat ping na router v případě výpadku a screen z pingplotter s výpadky.
Doplň náčrtkem, jak a co máš zapojeno. Bude mě zajímat ping na router v případě výpadku a screen z pingplotter s výpadky.
-
- Podobná témata
- Odpovědi
- Zobrazení
- Poslední příspěvek
-
- 12 Odpovědi
- 15610 Zobrazení
-
Poslední příspěvek od petr22
